Cara Ajukan KUR Bank Jatim 2025 Online dan Offline, Cek Syarat & Tabel Angsurannya selengkapnya di Sini!
Cara ajukan KUR bank jatim 2025 online dan offline, cek syarat & tabel angsurannya-Ilustrasi -
BACAKORAN.CO - Program Kredit Usaha Rakyat (KUR) Bank Jatim 2025 kembali menjadi angin segar bagi pelaku Usaha Mikro, Kecil, dan Menengah (UMKM) di Jawa Timur.
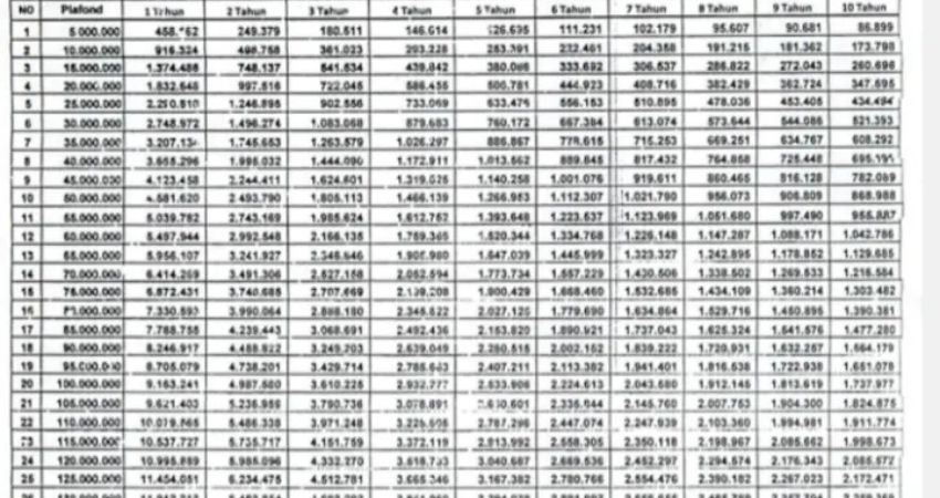
Dengan skema pembiayaan yang lebih fleksibel, bunga ringan, serta plafon pinjaman hingga Rp500 juta, KUR Bank Jatim menjadi salah satu pilihan favorit untuk pengembangan usaha tanpa tekanan cicilan berat.
Sebagai bank daerah yang fokus mendukung pertumbuhan ekonomi lokal, Bank Jatim terus menyempurnakan layanan KUR agar semakin mudah diakses.
Tahun 2025, proses pengajuan dibuat lebih sederhana, bahkan bisa dilakukan secara online melalui aplikasi resmi.
BACA JUGA:Utang KUR UMKM Korban Banjir Sumatera Berpotensi Diputus, Pemerintah Siapkan Skema Pemutihan
Jenis KUR Bank Jatim 2025
Bank Jatim menyediakan tiga jenis KUR utama yang disesuaikan dengan skala dan kebutuhan usaha, yaitu:
1. KUR Super Mikro
Ditujukan bagi pelaku usaha pemula atau ultra mikro dengan plafon pinjaman kecil.
Suku bunganya paling ringan, mulai dari 3% per tahun.
BACA JUGA:Lengkap! Dokumen dan Syarat Pengajuan KUR BCA 2025 untuk UMKM, Bunga Ringan Tenor Panjang
2. KUR Mikro
Cocok untuk usaha yang sudah berjalan minimal 6 bulan dan membutuhkan tambahan modal kerja atau investasi dengan plafon lebih besar.
3. KUR Kecil
Diperuntukkan bagi UMKM yang ingin ekspansi usaha dengan plafon pinjaman hingga Rp500 juta dan tenor lebih panjang.
Masing-masing jenis KUR memiliki ketentuan tenor, bunga, dan jaminan yang berbeda, sehingga calon debitur bisa memilih sesuai kondisi keuangan usaha.
Syarat Pengajuan KUR Bank Jatim 2025
Agar pengajuan berjalan lancar, berikut syarat terbaru KUR Bank Jatim 2025 yang perlu dipenuhi:
